letou米兰体育 厂家教你三轴米兰体育官网首页登录 如何选型!
1. 确定额定激振力的大小
由于三轴米兰体育官网首页登录 的主参数是以激振力大小命名与排序的,根据已知的参数,利用∑ m x a= ( m1 + m2 + m3 + m4) x a计算出激振力的大小,并加1.3安全系数,便能确定在加速度区域所需的激振力的大小,并以此作为选定相应型号的依据。
这里,m1是试件的质量;m2 是夹具的质量;m3 是振动台可动系统(即动圈)的质量;m4 是垂直扩展台面的质量(当振动台工作于水平振动时,m4 为水平滑台可动系统重量)。

说明:m3、m4 参数可以在振动台制造商的样本中查到。
验证振动台制造商提供的速度幅值和位移幅值能否满足试验要求。电磁式振动试验台的工作特性曲线分为:位移区、速度区和加速度区(在激振力不变的情况下随着试验负载的增大、振动台给出的加速度幅值将相应地减小,但电磁式振动试验台能达到的最大激振力、最大速度和最大位移值是不随试验负载大小而变化的,也就是说是固定的。
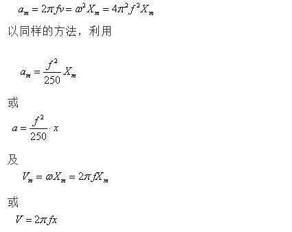
因此在根据上式确定了加速度区域的激振力和已知试验加速度幅值a后,用下式a=2πfv即可计算出此试验负载下的加速度区和速度区的交越点,然后继续用下式V=a/2πf计算出该交越点以下速度区内频率点各对应的速度幅值的大小。当计算值小于初步选定的振动台的最大速度幅值时,试验可行;选型得以确认,反之则应重新选型。
验证在位移区内相应的位移能否满足要求。

2. 垂直扩展台面的选择
三轴米兰体育官网首页登录 的台面尺寸是比较小的,当被试验品(或夹具)的长、宽尺寸大于振动台面最大螺孔直径时,就应该考虑配置相应的扩展台面,而扩展台面的上限工作频率一般比振动台的上限频率低。因此,当采用扩展台时,一般情况下应视扩展台面的上限频率为振动台的上限工作频率,对于扩展台面(一般地采用圆形扩展台面比同尺寸的方形扩展台面上限工作频率高)。
这里需要指出的是:当扩展台面较大且试件重量较重而且重心偏离中心较大时,可以考虑在扩展台面四个角下方加空气弹簧辅助支撑并加直线轴承导向,以尽量减少横向运动并提高振动台的承载能力和抗倾覆力矩的能力。
3. 其它方面的考虑
当试验规范只作正弦额定或定振扫频试验时,系统只需配正弦振动控制仪即可。而当试验规范只要求作随机振动(或兼正弦振动)时则应配置随机振动控制仪。
当试验规范仅要求垂直方向振动时(或者利用夹具可以倒向时),只需一般电磁式振动试验台;当试验要求作水平振动时,除购置三轴米兰体育官网首页登录
外还需配置相应的水平滑台。
更多三轴米兰体育官网首页登录
相关选型资料以及详细的产品介绍,请咨询【letou米兰体育
】厂家,电话:13829135130







